Москва, ул.Левобережная
-
- Активный новичок
- Сообщения: 19
- Зарегистрирован: 30 янв 2015, 12:00
Москва, ул.Левобережная
#41221Запрос котировок в электронной форме
Подача заявок / 223-ФЗ
24 793 716 ,60
Российский рубль
№ 31705494232
Заказчик:
АКЦИОНЕРНОЕ ОБЩЕСТВО "ГЛАВНОЕ УПРАВЛЕНИЕ ОБУСТРОЙСТВА ВОЙСК"
Запрос котировок в электронной форме среди субъектов малого и среднего предпринимательства на право заключения договора на поставку электроматериалов в рамках строительства АО «ГУОВ» (шифр 97/973)
Размещено: 05.09.2017
Обновлено: 05.09.2017
По техническому заданию на корпуса 3,16,20,23.
Подача заявок / 223-ФЗ
24 793 716 ,60
Российский рубль
№ 31705494232
Заказчик:
АКЦИОНЕРНОЕ ОБЩЕСТВО "ГЛАВНОЕ УПРАВЛЕНИЕ ОБУСТРОЙСТВА ВОЙСК"
Запрос котировок в электронной форме среди субъектов малого и среднего предпринимательства на право заключения договора на поставку электроматериалов в рамках строительства АО «ГУОВ» (шифр 97/973)
Размещено: 05.09.2017
Обновлено: 05.09.2017
По техническому заданию на корпуса 3,16,20,23.
Москва, ул.Левобережная
#41222Начинается заселение 13 корпуса?Добрый вечер! Появилось освещение на первых этажах 13 корпуса.
-
- Участник
- Сообщения: 92
- Зарегистрирован: 18 дек 2014, 00:31
Москва, ул.Левобережная
#41223По 3 к работа внутри и теплотрассу тянут. По теплотрассе 7 к со стороны АТП за неделю добавилось только около 10 метров ограждения опалубки, трубы - в том же состоянии, внутри 7 к работников не видно. Со стороны ЦСКА перед 7 и 8 к - только канава от старой тт. В 1 подъезд 8 к заносили эл. плиты, окон битых полно, работ внутри не видно. ИТП может и смонтированы, но к ИТП 8 к трубы ещё и не начинали тянуть. Какая сдача в сентябре?!!!!
Отправлено спустя 5 минут 33 секунды:
Немного фото от 5 сентября:
Отправлено спустя 5 минут 33 секунды:
Немного фото от 5 сентября:
Москва, ул.Левобережная
#41224Неужели БОМЖи активно заселяются/ арендуют?! Есть свет на этажах и выше первого!( явно -не блики от фонаря)Добрый вечер! Появилось освещение на первых этажах 13 корпуса.
Если обратиться к первоисточнику, то говорят, что о покойниках говорят либо хорошее, либо ничего, либо- правду! В УК РФ есть статья- доведение до самоубийства! ( бытовой фактор( отсутсвие своего жилья при наличии права на него...))- не исключаю!) Ваши советы да в уши руководства МО РФ ( имхо) Когда будет встреча ?!( куплю шарики в аптеке)... Нельзя про покойников говорить плохо, но... Мог бы сначала получить квартиру(ЖС), обеспечим тем самым семью, затем уволиться, а потом вешаться. Ребенок-без отца, жена-без мужа, командованию-головняк, распоряжецам-проблемы.
-
- Заслуженный участник
- Сообщения: 1924
- Зарегистрирован: 15 май 2011, 22:00
Москва, ул.Левобережная
#41225Служебка была, ждал либо постоянное, либо ЖС. Чего ещё надо воину, ДД получал, выслуга шла, жить есть где. Это всё говорит о том, что воин не был занят делом(хотя говорят в наряды ходил), жену не любил и спортом не занимался....бытовой фактор( отсутсвие своего жилья при наличии права на него...
Москва, ул.Левобережная
#41226Это говорит, ровным счетом ни о чем, кроме депрессии! У меня служебки нет и небыло , как женился-спортом заниматься устал, но есть дача, в наряды не хожу (нет должности и обязанностей, кроме общих), поднаём не получаю. Ваше мнение-все плохо?!Служебка была, ждал либо постоянное, либо ЖС. Чего ещё надо воину, ДД получал, выслуга шла, жить есть где. Это всё говорит о том, что воин не был занят делом(хотя говорят в наряды ходил), жену не любил и спортом не занимался....бытовой фактор( отсутсвие своего жилья при наличии права на него...
Москва, ул.Левобережная
#41227В 15 корпусе вчера наблюдались альпинисты со стороны ул. Дыбенко, заделывали швы
-
- Заслуженный участник
- Сообщения: 1924
- Зарегистрирован: 15 май 2011, 22:00
Москва, ул.Левобережная
#41228Дача это очень хорошо, занятость обеспеченаВаше мнение, все плохо??

Москва, ул.Левобережная
#41229Все относительно!( имхо) Профессионалы играли, а вот что делали Вы?! У Турчинскоко, "остановилось" сердце в 46 лет! Я к тому, что советы тут неуместны!( за сим, полемику заканчиваю)Дача это очень хорошо, занятость обеспеченаВаше мнение, все плохо??А вот то, что забросили спорт это плохо. Знаю людей которые и в 75 лет играют футбол, да ещё как. 3 раза в неделю играю футбол, по субботам с нами играют профессионалы(два игрока ПФК "Севастополь" и один экс-игрок донецкого "Шахтёра").
-
- Заслуженный участник
- Сообщения: 1924
- Зарегистрирован: 15 май 2011, 22:00
Москва, ул.Левобережная
#41230На то воля божья, но накладывать на себя руки это большой грех. Умолкаю.У Турчинскоко, "остановилось" сердце в 46 лет!
-
- Постоянный участник
- Сообщения: 218
- Зарегистрирован: 07 дек 2010, 21:38
Москва, ул.Левобережная
#41231Хотелось бы пример с более явной связью между скоростью строительства и позитивностью мышления. Во сколько раз, вы считаете, vishna 123 мыслила позитивнее, если она получила квартиру через 5 лет после постановки на очередь, по сравнению с тем, кто ждёт 15 лет и до сих пор не получил?А Вы считаете что лучше так?Вот тут некоторые советуют практиковать позитивный тип мышления
-1
В воскресенье в бухте Казачке в Севастополе повесился майор, распоряженец. Говорят был нормальным и морально устойчивым, с женой вроде поссорился. Нельзя про покойников говорить плохо, но... Мог бы сначала получить квартиру(ЖС), обеспечим тем самым семью, затем уволиться, а потом вешаться. Ребенок-без отца, жена-без мужа, командованию-головняк, распоряжецам-проблемы.
-
- Заслуженный участник
- Сообщения: 4349
- Зарегистрирован: 16 июн 2011, 20:02
Москва, ул.Левобережная
#41232Вот кстати именно у таких позитивно терпящих и верящих бесконечным обещаниям о светлом будущем, однажды спадает пелена и они либо убивают себя, либо кого-то...нет ощущения владения ситуацией хоть минимального - есть безнадега...
-
- Заслуженный участник
- Сообщения: 1924
- Зарегистрирован: 15 май 2011, 22:00
Москва, ул.Левобережная
#41233Есть нюанс как правильно считать время постановки на учёт и общее время ожидания на учёте. Я, к примеру, встал на учёт в 2001 году, на Москву с 2009 года. После настойчивого "совета" старших московских начальников переписал на область. И вновь встал на Москву в 2011 году. Получается я стою на учёте на Москву всего 6 лет, а всего уже 16 лет(только сначала ждал не Москву). Безусловно те кто, служил в Москве и стоял на Москву(а тогда только они и имели право) раньше должны были получать раньше....получила квартиру через 5 лет после постановки на очередь, по сравнению с тем, кто ждёт 15 лет и до сих пор не получил?
-
- Постоянный участник
- Сообщения: 218
- Зарегистрирован: 07 дек 2010, 21:38
Москва, ул.Левобережная
#41234Это все замечательно, да вот только Vishna 123 писал(а), что выслуги 25 лет, соответственно, не может он(а) стоять "на москву" больше пяти лет. А тут многие с 1998, 2001, 2003.... Так к чему манты про позитивность?Есть нюанс как правильно считать время постановки на учёт и общее время ожидания на учёте. Я, к примеру, встал на учёт в 2001 году, на Москву с 2009 года. После настойчивого "совета" старших московских начальников переписал на область. И вновь встал на Москву в 2011 году. Получается я стою на учёте на Москву всего 6 лет, а всего уже 16 лет(только сначала ждал не Москву). Безусловно те кто, служил в Москве и стоял на Москву(а тогда только они и имели право) раньше должны были получать раньше....получила квартиру через 5 лет после постановки на очередь, по сравнению с тем, кто ждёт 15 лет и до сих пор не получил?
- Alex7777
- Заслуженный участник
- Сообщения: 510
- Зарегистрирован: 20 дек 2012, 18:55
- Откуда: ул. Левобережная дом 4 корпус
Москва, ул.Левобережная
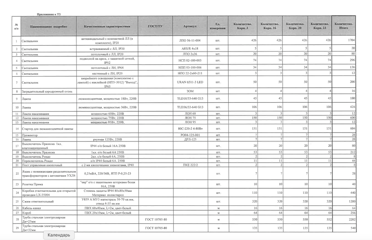
#41235Похоже, что уже в ближайшее время начнут достраивать оставшиеся одноподъездные дома серии И-155НБ, во всяком случаи начались многомиллионные закупки оборудования для корпусов 3, 16, 20, 23.
Отправлено спустя 1 минуту 27 секунд:
Вот техническое задание на эти корпуса:
Отправлено спустя 1 минуту 27 секунд:
Вот техническое задание на эти корпуса:
-
- Заслуженный участник
- Сообщения: 1924
- Зарегистрирован: 15 май 2011, 22:00
Москва, ул.Левобережная
#41236Может, если льготные статьи увольнения....не может он(а) стоять "на москву" больше пяти лет.
Отправлено спустя 5 минут 2 секунды:
Очень даже возможно, говорят ждал квартиру в Москве.... или он ожидал квартиру на Левобережке?!
-
- Заслуженный участник
- Сообщения: 4349
- Зарегистрирован: 16 июн 2011, 20:02
Москва, ул.Левобережная
#41237Ура!
В 9 лесопарках и парках столицы отремонтируют дорожки для пешеходов
Показать текст
В 9 лесопарках и парках столицы отремонтируют дорожки для пешеходов

- Forumchanka
- Заслуженный участник
- Сообщения: 845
- Зарегистрирован: 04 июл 2013, 22:54
Москва, ул.Левобережная
#41238и это мы!!!! в очереди с 1998 года!до сих пор ждем.Уже заселились все кто угодно, включая 2012 г. А мы ждем))))Смешно уже)))интересно, чем и когда закончится...Безусловно те кто, служил в Москве и стоял на Москву(а тогда только они и имели право) раньше должны были получать раньше.
Отправлено спустя 2 минуты 48 секунд:
странно, что не плитку собянинскую кладутУра!
В 9 лесопарках и парках столицы отремонтируют дорожки для пешеходов
-
- Участник
- Сообщения: 87
- Зарегистрирован: 22 янв 2015, 13:33
Москва, ул.Левобережная
#41239подскажите где находится ключница от 6 кор., график её работы и тел..Ещё где в Москве находится МФЦ, график работы, какие документы необходимы для регистрации права собственности. И какой должен быть алгоритм действий после выдачи выписки из решения РУЖО. Всем ответившим заранее благодарин....
Москва, ул.Левобережная
#41240Какой-то странный у Вас интернет!подскажите ...Ещё где в Москве находится МФЦ, график работы, какие документы необходимы для регистрации права собственности. И какой должен быть алгоритм действий после выдачи выписки из решения РУЖО. Всем ответившим заранее благодарин....

-
- Участник
- Сообщения: 87
- Зарегистрирован: 22 янв 2015, 13:33
Москва, ул.Левобережная
#41241Если можете, то помогите информацией, если нет - не умничай.....QR_BBPOST Какой-то странный у Вас интернет! Вам адреса всех МФЦ или по месту жительства?! Два года на форуме, а алгоритм не видели/ знаете?! Делайте копии ВСЕГО и несите ВСЕ в МФЦ( оригиналы)/ УК ( копии)...
Отправлено спустя 5 минут 9 секунд:
Если можете, то помогите информацией, если нет - не умничай.....QR_BBPOST Какой-то странный у Вас интернет! Вам адреса всех МФЦ или по месту жительства?! Два года на форуме, а алгоритм не видели/ знаете?! Делайте копии ВСЕГО и несите ВСЕ в МФЦ( оригиналы)/ УК ( копии)...
Москва, ул.Левобережная
#41242К человеку на Вы, с вопросом- уточнением, готовым ответом на все глупые дополнительные вопросы, а он, вместо спасибо (" всем ответившим"), тыкает и советует в ответ. ЧМО- (человек морально опустившийся).тогда копайся/ листай форум сам, тыкай пальцами в кнопки, морщи лоб, полувоенный халявщик...Много чести!Если можете, то помогите информацией, если нет - не умничай.....QR_BBPOST Какой-то странный у Вас интернет! Вам адреса всех МФЦ или по месту жительства?! Два года на форуме, а алгоритм не видели/ знаете?! Делайте копии ВСЕГО и несите ВСЕ в МФЦ( оригиналы)/ УК ( копии)...
- Русский Солдат
- Заслуженный участник
- Сообщения: 1741
- Зарегистрирован: 01 июл 2013, 18:36
- Откуда: С Т О Л И Ц А
-
- Постоянный участник
- Сообщения: 486
- Зарегистрирован: 28 дек 2014, 12:31
Москва, ул.Левобережная
#41244Что то таблицы скинули о закупках лампочек, но цен на эти лампы я не увидел. Там наверное опять будет РосРаспил денег на лампах тридорогих по цене светодиодов. Но в любом случае не лампами едиными будут достроены одноподъездники. Ну хоть лампочки купят и то слава Богу!
Москва, ул.Левобережная
#41245
Подсчет странный... ламп больше чем светильников кто то решил еще дома у себя поменять?))
Сжимов что то много....
Москва, ул.Левобережная
#41246В оставшихся корпусах "голые" стены, нет ни труб, ни светильников!( имхо) Остальное математика: количество подъездов в корпусах+ этажи + пожарные лестницы...Остальное- плановая замена( усушка, утряска/ бой)Похоже, что уже в ближайшее время начнут достраивать оставшиеся одноподъездные дома серии И-155НБ, во всяком случаи начались многомиллионные закупки оборудования для корпусов 3, 16, 20, 23.
27 000 000 на закупку светильников ламп стартеров и труб...
Подсчет странный... ламп больше чем светильников кто то решил еще дома у себя поменять?))....

- Рокоссовец
- Заслуженный участник
- Сообщения: 2402
- Зарегистрирован: 25 мар 2012, 18:27
- Откуда: Хабаровск-Москва
Москва, ул.Левобережная
#41247QR_BBPOST Ещё где в Москве находится МФЦ
Центр госуслуг районов Левобережный, Молжаниновский, Ховрино
МФЦ
Сайт
Как добраться
6 отзывов
8,9/10 Яндекс.Карты
АдресМосква, Ленинградское шоссе, 108
МетроРечной вокзал, Планерная, Сходненская
Телефон+7 495 777‑77-77, +7 495 587‑88-88
Сайтmd.mos.ru
Открыто ежедневно, 8:00–20:00
Все документы из ДЖО (РУЖО) - Решение, Акт, Доверенность, Выписка. Копии на все документы. Копии на все паспорта и свидетельства о рождении для лиц дот 14 лет. Если все совершеннолетние не присутствуют в МФЦ, то от них доверенность нотариальная на ваше имя.QR_BBPOST какие документы необходимы для регистрации права собственности
Выписку с копией и копии паспортов и СОР всех будущих собственников тащите в управляющую компанию (корпус 10), получаете ключи и открываете лицевой счёт, сразу можно пароль от личного кабинета выпросить. Принимаете квартиру, составляете акт, по недостаткам с ними начинаете работать.QR_BBPOST после выдачи выписки из решения РУЖО
p.s. по регистрации по месту жительства в последнюю очередь, с уже готовыми документами на собственность (после МФЦ)
Москва, ул.Левобережная
#41250Пастух М.Н. Сказал в конце сентябряЧто-нибудь слышно по собранию на Левобережке?
Вернуться в «ОБСТАНОВКА С ЖИЛЬЕМ ПО ГОРОДАМ»
Кто сейчас на конференции
Сейчас этот форум просматривают: YandexBot и 17 гостей